예언과 시사
황교안이 윤석렬, 한동훈, 국힘당 낙선자들에게
중일사랑
2024. 4. 18. 11:37
< 대통령께서 부정선거 발본색원하시면 청사에 남습니다 >
짧게 말씀드립니다.
윤석열 대통령님이 과감하게 역사와 정면승부하는 길을 택하시기 바랍니다.
무슨 뚱딴지같은 얘기냐 하시겠지만, 말도 안되는 총선 결과를 지금 이대로 방치하여 시간이 흘러가면 패배의 역사로 기록되게 됩니다.
그러니, 너무도 많은 우리 국민들이 투표가 뭔가 잘못되었다고 생각하는 이 때, 대통령께서 때를 놓치지 말고 총선에서 나타난 여러 문제점들을 살피고 문제를 제대로 파헤쳐 바로잡게 되면, 승리의 역사를 쓰게 됨을 재차 강조하고 싶습니다. 엊그제 총선 접전 지역에서 집권 여당이 패한 이유는 본투표에서 이기고도 사전투표에서 졌기 때문입니다. 같은 지역구에서 며칠 사이에 그렇게 투표 행태에 차이가 난다는 것은 통계상 있을 수 없습니다. 정말이지 사전투표 시스템은 한심스럽습니다. 그 이유는 사전투표자 수가 몇 명인지 눈으로 보고 대조해서 맞춰 볼 대상이 없기 때문입니다. 반면, 당일투표는 선거인명부 서명, 당일투표지 일련번호 절취부가 있어 투표함에 있는 투표지 숫자와 대조하면 세 개가 픽스(fix) 됩니다. 딱 맞게 됩니다. 문제의 사전투표자수는 투표함 속 투표지 이외 아무 것도 눈으로 보고 대조할 것이 없습니다. 왜냐하면 선관위가 유독 사전투표장에 있는 CCTV만 모두 가려버렸기 때문입니다. 또 사전투표지 바코드 밑에 당연히 있어야 할 일련번호 숫자도 죄다 없애버렸습니다. 뭔가 이상하지 않습니까?
게다가 유독 사전투표함만 헝겊 자루로 만들었고, 그 투표함 시건 장치는 할머니 반닫이보다도 열기 쉽게 만들어놨습니다. 사전투표함 봉인지는 참관인 서명도 잘 안보이는 짙은 회색에 그 마저도 떼었다 붙인 흔적까지도 있습니다. 말이 봉인지이지 실제로는 포스트잇입니다. 플라스틱 타이로 봉인하는 아프리카 짐바브웨 투표함이 우리나라 봉인지보다 훨씬 낫습니다. 이렇게 허술한 시스템에서 문제가 없다면 그것이 오히려 더 이상할 것입니다. 참관인들이 사전투표자 수를 딸깍딸깍 계수기로 직접 세었더니 전국적으로 선관위 모니터상의 숫자와 차이가 상당했습니다. 게다가 공직선거법에 사전투표관리관이 개인도장을 날인하도록 되어 있고 이를 당정에서 선관위에 요구했음에도 불구하고, 선관위는 철저히 깔아뭉갰습니다. 소위 선관위가 말하는 인쇄 날인으로 갈음했습니다.
그냥 사전투표지는 마음대로 카피하라고 뒷문을 열어준 것이나 마찬가지입니다. 어떻게 이렇게 사전투표 제도와 장치 모두가 하나같이 사전투표자 수를 감추고 가짜 투표지를 더하거나 빼도 알 수 없도록 짜여져 있는지 ’피쉬(fishy)’ 즉 수상쩍은 냄새가 나지 않습니까? 상식을 가진 대한민국 유권자라면 모두 이상하게 생각할 것입니다. 다만 이제까지 유권자들 대부분이, "어떻게 만든 대한민국인데, 우리 시스템이 그럴 리가 없어" 하는 대정부 신뢰 때문에 이 문제에 관심을 기울이지 않았을 뿐입니다.
그러니 대통령께서 이 문제를 앞장서 제기함으로써 국민의힘 당 차원에서 후보자들의 선거무효 소송을 돕고 진상을 규명할 수 있는 분위기를 조성해 주십시오. 그리고 무엇보다 언론을 대상으로, "선거 관련 의혹이 많이 제기되니, 차제에 우리 모두 시스템 점검에 나서자"고 한 말씀 해주시기 바랍니다. 또 문제가 있으면 검찰과 경찰을 동원하여 사전투표의 제반 변칙과 파행을 적극 수사해주시기를 학수고대 합니다. 지난해 가을, 선관위 시스템 보안성을 체크한 국정원으로 하여금 선관위 서버를 신속히 확보하도록 대통령 직속 기관에 지시도 내려주기 바랍니다. 왜냐하면 선관위가 보유한 투표자 신분증 스캔 이미지 파일이 한 달 동안만 보관하도록 되어 있기 때문입니다.
언론에서 총선 “참패” “참패”하면서 여야 영수회담을 자꾸 거론하는데, 윤대통령께서는 그보다는 국민들 사이에 원성이 자자한 사전투표 문제와 그래서 어떻게 이번 총선에 영향을 미쳤는지를 규명하는 데 집중하셔야 할 것입니다. 이 문제가 정국 타개책이 될 수 있습니다. 대통령께서 바로 이 순간, 이 일을 바로 잡으시면 우리 역사가 바로 섭니다. 대통령께서 이 문제만 바로 잡으시면, 역대 대통령이 남긴 그 어떤 업적보다 빛날 것입니다. 확신합니다. 대통령께서 역사와 승부하여 승리의 역사, 청사에 기록되기를 충심으로 기원합니다.

< 한동훈 비대위원장에게 드리는 고언 II >
지난 3개월 동안 온몸이 부서져라 전국을 누비며, 집권 여당에 한 표를 호소했던 한 비대위원장의 수고에 국민의힘 당원의 한 사람으로서 찬사를 보냅니다.
이번 선거는 ‘범죄와의 전쟁’이었습니다.
토건비리, 입시비리, 돈봉투 비리 연루자들이 득실거리는 무리들과의 싸움이었습니다. 범죄를 소탕하는 검사 출신이 범죄와의 전쟁 선거 유세를 이끌었던 것은 Right Time, Right Person 즉 제 때 적격자가 등장한 최선의 구도였습니다. 국민들은 야당에 비해 깨끗한 여당 후보들이 응당 국회에 진출해야 한다고 주권을 행사했을 것입니다. 사필귀정입니다.
그러나 비정상적인 결과가 나올 수도 있습니다. 내가 지난 총선에서 그러한 경험을 한 장본인이기 때문에 말씀드립니다. 당 대표로서 지난 2020년 4.15 총선을 지휘하면서, 당시 엉망으로 국정을 운영했던 문재인 대통령이 심판받아야 마땅한 선거에서, 오히려 선거 결과는 그 반대로 집권당의 압승으로 나타났습니다. 암담했습니다. 내 탓이라고 반성하고 속죄했습니다. 선거의 공정성을 추호도 의심하지 않았습니다.
그런데 나중에 보니 120여건이 넘는 선거무효소송이 제기되었을 정도로 문제가 많은 총선이었습니다. 선거 재판중 민경욱 전 의원 등과 함께 재검표 현장에 직접 참석하여 엉터리 가짜투표지들이 쏟아지는 것을 보고, 또 그러한 범죄를 보고도 기각 판결을 서슴없이 내리는 대법관들을 보고 경악을 금치 못했습니다. 아스팔트로 나서 시민단체들과 함께 부정선거 척결 투쟁을 벌인지 4년이 되었습니다.
그래서 말씀드립니다. 이번 총선 결과와 관계없이, 한동훈 위원장은 사전투표제도를 비롯하여 현행 선거 시스템을 바로잡는 데 앞장서 주기를 바랍니다. 선관위가 사전투표제도를 만들면서 검증장치가 잘 구비된 당일투표와는 완전히 다른, 아주 이상한 투표 시스템을 만들었습니다. 즉, 사전투표의 경우도 같은 관내에서 투표하는 유권자들의 경우에는 당일투표와 똑같이 선거인 명부도 비치하고 투표지 일련번호도 똑같이 떼게하면 됩니다. 그런데 선관위는 이런 검증 장치를 모두 없애고 사전투표를 사실상의 전자투표로 만들어 모든 투표 기록을 선관위 컴퓨터 서버 안에 집어넣고 일반인들은 검증조차 하지 못하게 만들었습니다.
게다가 한위원장이 선관위에 요구한 바 있었던, 사전투표관리관 자신의 개인도장 날인이라는 유일한 검증 장치마저 선관위로부터 거절당한 채 선거가 실시되었습니다. 대신 선관위가 주장하는 인쇄날인으로 갈음되었습니다. 개인도장이 찍힌 투표지는 대량 카피가 불가능하지만 인쇄날인을 한 투표지는 얼마든지 가능합니다. 사전투표함은 봉인조차 제대로 안 되는 헝겊 자루입니다. 봉인지가 잘 붙는 플라스틱 재질의 당일 투표함과는 다릅니다. 하나같이 이상한 장치들입니다.
이번 총선이 끝나면 한위원장은
첫째, 주변에서 사전투표 독려에 문제가 없다고 조언했던 이들이 누구인지 그 면면을 반드시 기억해 두어야 합니다.
둘째, 투표관리관 개인도장 날인 요구를 포기하도록 만든 장본인, 즉 중앙선관위측 인사가 누구인지, 당내 인사는 누구인지, 낱낱이 기억하고 기록해 놓아야 합니다. 이들이 선거를 왜곡시킨 문제의 인물들이라고 봐도 무방할 것입니다.
셋째, 엉터리 봉인스티커를 비롯하여 현 사전투표 시스템 내 제반 허점 등을 당차원에서 백서를 만들고 이를 바로잡지 않으면, 앞으로도 선거 때마다 홍역을 치를 것임을 명심해야 할 것입니다. 이 과정에서 선거부정 문제를 거론하면 해당 행위가 될 것이라고 주장하는 사람 역시 불순 세력으로 보면 됩니다.
나는 한위원장과 마찬가지로 검사, 법무부 장관, 당 대표를 먼저 지낸 사람으로서, 지난 4년 동안 부정선거 음모론자 소리를 들어가면서도 이 문제에 천착해왔습니다. 검찰 공안검사로 공안사범과 선거사범들을 처리해왔던 공직자 출신으로, 나의 양심을 걸고 말씀드립니다.
지난 4.15 총선이후, 우리나라 투•개표 시스템은 분명히 잘못되어 있고, 이 제도가 유지되는 한, 우리 국민의힘 당은 번번히 어려움을 겪게 될 것이고, 민의가 왜곡되는 것을 경험하게 될 것임을 말입니다.
상황이 위중한 만큼, 이번 총선이후 한위원장도 저와 같이 자유민주주의의 꽃인 우리나라 선거제도를 바로 세우는 일에 동참해줄 것을 기대합니다.
< 이번에도 사전선거는 부정선거의 놀이터였다 >
지난 2020년 4.15 총선과 마찬가지로 이번 4.10 총선에서도 부정선거의 가장 큰 놀이터는 사전선거였습니다. 득표율을 분석한 결과, 민주당은 당일투표에서 얻은 득표율보다 사전투표에서 얻은 득표율이 압도적으로 높게 나왔습니다.
말도 안 되는 결과입니다.
서울 425개 동 전체, 경기 599개 동 전체, 인천 156개 동 전체, 대전 82개 동 전체, 제주 43개 동 전체에서, 민주당이 당일투표보다 사전투표에서 득표율이 훨씬 높게 나왔습니다. 또, 부산, 울산, 세종에서도, 민주당이 후보를 낸 지역은 몽땅 다, 단 한 곳도 빠짐없이 사전투표 득표율이 훨씬 높게 나왔습니다.
여러분, 이게 말이 됩니까?
조작이 아니고서는 절대 설명할 수가 없습니다.
검찰, 경찰은 지금 당장 수사하십시오.
황교안 Hwang Kyo-ahn
< 사전투표지 바코드 아래 일련번호 누가 없앴나? >
국민 여러분들께서는 마트에서 어떤 물건을 사든, 겉 포장에 바코드가 찍혀 있는 것을 보셨을 것입니다.
생산 국가 코드, 즉 국산일 경우 880 번호가 없는 바코드는 못 보셨을 것입니다. 그런데 이번 4.10 총선에서 사전투표지에 인쇄된 바코드에는 번호가 없이 바코드만 달랑 있습니다. 선관위가 바코드를 새겨 넣으면서 숫자 즉 투표지 발행 일련번호를 같이 인쇄되게 했다면 얼마나 좋았겠습니까? 그러나 선관위는 이것을 없애버렸습니다. 반면, 이 사전투표지와는 달리 당일투표지에는 귀퉁이에 일련번호가 찍혀 있고 이것을 잘라내어 따로 보관하게 되어 있습니다. 아래 첫번째 사진에서 확인하실 수 있습니다.
그래서 투표함에 있는 투표지 숫자와 일련번호 절취부 숫자, 그리고 선거인 명부에 서명한 사람 수, 이렇게 세 개를 맞춰 보면 딱 떨어집니다. 당초 선관위가 국회 정개특위에 제출한 투표지 바코드와 QR코드 사용관련 자료는 아래 두번째 사진에서 보시는 바와 같습니다. 바코드와 그 밑에 일련번호를 같이 썼습니다. 이것이 원안인데, 이번 총선에서 선관위는 이 숫자 번호를 없앤 채 투표지를 발행했습니다.
선관위는 말이 많았던 QR코드를 바코드로 바꿨다고 크게 생색은 냈지만, 정작 일반인들이 눈으로 보고 투표지가 몇 장 발행되었는지를 알 수 있는 일련번호를 감춘 것입니다. 투표지 발행 숫자가 비밀입니까? 그걸 선관위가 감출 이유라도 있습니까? 게다가 중앙선관위는 사전투표소 CCTV도 모두 가리게 했습니다. 그래서 사전투표를 한 사람이 몇 명인지, 사전투표함의 투표지수와 육안으로 철저히 대조해 볼 대상이 이 세상에는 없습니다. 이번 총선에서 여러분 모두가 보셨듯이, 야당은 사전투표에서 거의 모두 승리했습니다.
그런데 선거 무효 소송에서 후보별 득표수를 점검하려면, 사전투표의 경우 이걸 육안으로 대조해 볼 수 있는 대상이 있어야 하는데, 바로 그 대상이 이 세상에 존재하지 않는다는 것입니다. 그냥 선관위가 그렇다고 하면 그렇다고 믿을 수 밖에 없게끔 만들어 놓았습니다. 바코드에 투표소와 투표지 발행 숫자 번호만 있었어도 확인이 수월할 텐데 말입니다. 바코드 번호 병기 누락 등 이번에 이 사전투표의 문제점들을 발본색원하지 못한다면, 앞으로 유권자들은 우리나라의 투표 제도를 신뢰하지 못하고 외면할 것입니다.
유권자 여러분, 이번 4.10 총선 부정선거의 핵심은 사전투표입니다. 그런데 선관위가 이제까지 사전 투표자수를 눈으로 보고 직접 세어볼 비교 대상을 모두 없애버렸다는 점이 큰 문제입니다. 유권자 여러분들의 사전 투표지 바코드 번호 누락 관련 고견을 듣고 싶습니다.


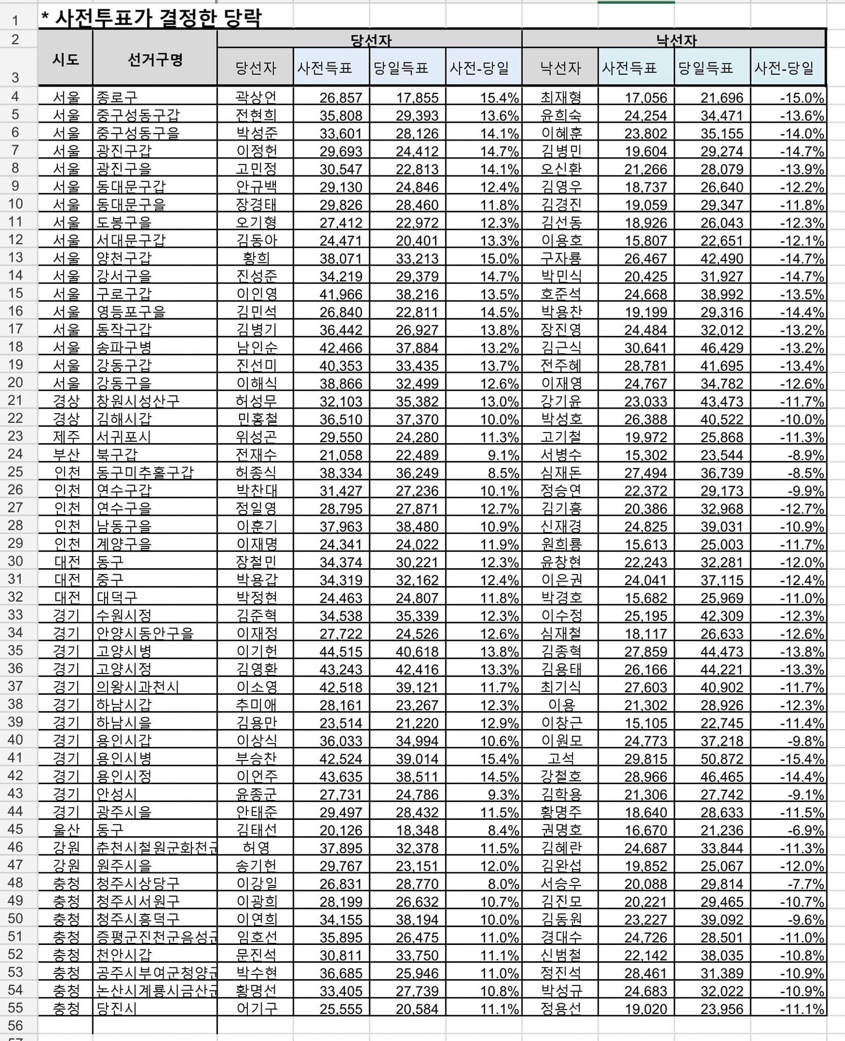
<당일 투표에 이기고도 사전투표로 떨어진 국힘당 후보자 명단>
또는, 자기가 당선자였다는 사실도 모르는 멍청한 국힘당 후보자 명단. 또는, 자기가 당선됐다는 걸 알면서도 선거무효소송을 제기할 배짱이 없는 국힘당 후보자 명단. 또는, 자기가 당선 됐다는 걸 알면서도 지난 4년간 부정선거 주장하는 사람들을 음모론자로 욕하면서 똑똑한 척 해왔기 때문에 문제 제기도 못하고 이불킥하는 쌤통 국힘당 후보자 명단.
한결같이 주변 눈치만 보고 진실을 밝힐 용기를 내지 못하는 비겁한 국힘당 후보자 명단! 최재형, 윤희숙, 이혜훈, 김병민, 오신환, 김영우, 김경진, 김선동, 이용호, 구자룡, 박민식, 호준석, 박용찬, 장진영, 김근식, 전주혜, 이재영, 강기윤, 박성호, 고기철, 서병수, 심재돈, 정승연, 김기흥, 신재경, 원희룡, 윤창현, 이은권, 박경호, 이수정, 심재철, 김종혁, 김용태, 최기식, 이용, 이창근, 이원모, 고석, 강철호, 김학용, 황명주, 권명호, 김혜란, 김완섭, 서승우, 김진모, 김동원, 경대수, 신범철, 정진석, 박성규, 정용선 (52명)
전원 국민의힘 후보들이고, 비겁하게 누구 하나 이의 제기를 하지 못하고 있다.
특히 이 가운데 28명은 정확히 같은 비율로 빠지고 더해졌다.

<장시정 전 함부르크 총영사의 글>
4.10 총선이 끝났다. 결과는 국힘당의 완패다. 패인을 분석한 이런저런 의견들을 볼 수 있다. 하지만 대부분은 핵심을 비켜 나가고 있다. 윤석열 대통령이나 한동훈 위원장에게 책임을 돌리기도 하지만, 우리는 훨씬 더 본질적인 문제를 간과하고 있다. 바로 부정선거다. 지난 21대 총선과 마찬가지로 광범위한 부정선거가 저질러 졌다는 강한 의구심을 지울 수 없다.
왜 사전투표함만 들어오면 결과가 뒤집히나?, 왜 사전투표와 본투표 간의 결과가 정반대인가? 어떻게 교차투표가 그렇게 많이 나올 수 있나? 어떻게 한 선거구에서 4천 표 이상의 무효표가 나올 수 있나? 왜 압승했다는 그 사람들의 표정에서 환한 웃음을 볼 수 없나? 이건 공병호 박사의 말대로 그냥 개표 결과 숫자만 보면 갖게 되는 의구심들이다.
나의 부정선거에 대한 확신은 남의 이야기를 듣거나 유튜브에서 보고 나서가 아니다. 지난 21대 총선 날 직후 선관위 홈페이지에서 통계치를 정리하다가 기이한 현상을 스스로 발견했다. 이번에도 시간을 쪼개서 선관위 홈피에 들어가 보았다. 그런데 지난번과 마찬가지다. 달라진 게 없다.
지난 번이나 이번이나 똑같은 기이한 현상들이 나타났다. 종로구와 계양을 개표 결과를 보자. 최재형 후보나 원희룡 후보가 공히 본투표에서 너끈히 이겼지만, 사전투표에서 져서 결국 크지 않은 차이로 낙선했다. 사전투표가 본투표만큼 큰 비중을 차지하고 있는데, 양 쪽 결과가 뚜렷이 다르다면 그건 통계학이란 학문을 부정하는 것이다. 공박사는 단언한다. 당선자와 낙선자가 바뀌었다고.
과학은 의심에서부터 출발한다. 좋게 말하면 호기심이다. 우리는 왜 지난번 총선에서부터 쏟아진 그 많은 부정선거에 대한 증거들에 대한 의구심을 해소할 수 없나. 과학적인 마인드의 부족이다. 뭔가 이상한 일이 생기면 달려들어서 생각을 하고 고민을 해봐야 하지 않나. 우리는 그저 "business as usual"이다. 만사가 그렇다. 우리 머리는 베게 베라는 머린가.
보수우파 진영의 인사들도 부정선거라면 콧웃음을 치는 사람들이 많다. 그 사람들은 단 한번이라도 왜 이런 현상이 벌어지는지를 진지하게 생각해 본적이 있는가? 단 한번이라도 공병호 박사나 조슈아의 바실리아 유튜브를 경청 해본 적이 있는가, 단 한권의 관련 서적을 사보기라도 했는가. 표를 찍는 사람이 아니라 표를 세는 사람이 결과를 좌지우지 한다면 더 이상 민주주의는 없다.
선관위의 홈피를 들여다 보다가 정당별 득표 결과를 찾을 수 없다. 결국 선관위에 전화를 했다. 메뉴가 복잡하다. 아니 숨어있다고 보는 게 맞을 것 같다. 그것도 겨우 시도별 결과만 나와 있다. 지역 개표 결과도 마찬가지다. 우리 선관위는도무지 통계 소비자의 니즈에 맞추어 다양한 여러 관점에서 통계를 제공하지 않는다. 특정 후보가 사전 투표와 본투표에서 각각 어떻 득표했는지를 알려면 각 투표소 득표 결과를 손수 합산해 봐야 한다. 독일의 선관위 홈피를 들어가 보면 기가 막히게 정리, 제시되어 있다. 통계 소비자가 손수 계산기를 들고 계산할 일은 없다. 독일은 우리처럼 선관위가 헌법기관의 지위도 갖지 않고 상설 조직도 없는 나라다.
우리나라 제2투표는 지난 2020년 총선 때부터 소위 부분적 연동형 비례대표제라는 걸 갖고와서 의석 산출 방식이 복잡한데 어느 언론에도 관련 기사를 볼 수없고 선관위 홈피에서도 찾아볼 수 없다. 개혁신당의 비례 의석이 당초 1석에서 2석으로 늘었는데 이런 건 누가 들여다 보기라도 하는건가?
대한민국 유권자들이 이번 선거 결과를 만들어 낼 만큼 비이성적, 비상식적이지는 않다. 선거 부정을 통한 왜곡된 결과다. 반성하지 않는다고 비난할 지 모르겠다. 하지만 반성은 반성이고 위법과 탈법, 더 나아가 반헌법적인 국사범죄는 완전히 다른 문제다. 제발 깨어나라!