



박주현
2tSe2os Scoehpitegmborer at 09:eSdm07nn
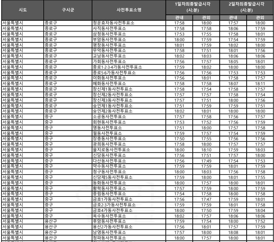
이렇게 최종발급시각을 알수 있는데 말입니다..ㅋㅋ
배춧잎 투표지 QR코드 발급시각 알 수 있지 말입니다..
그런데 누가 투표했는지 모르는게 말이 됩니까??ㅎㅎ
QR코드사용으로 비밀투표를 침해한 것은 별론으로...
10억 받고 싶어요.
선관위 직원님, 누가 배춧잎 투표지 투표했는지 알려주세요!

Min Kyungwook
s21 SeepSoptenembefir at d0i3:o55
당일 투표용지입니다.
뭔가 이상합니다.
1. 새로 만든 돈다발 같습니다.
이게 투표와 개표를 거친
투표지들이라는 게 믿어지십니까?
이건 어디서 만들어서 바로 공수해온
투표용지들이라고 할 수밖에 없습니다.
2. 칼로 잘라낸 꼬리표에
0과 같은 일련번호 숫자들이
남아있습니다.
보관된 꼬리표 대조를 통해
의문을 풀어야 합니다.
투표소 사무원들이
이렇게 일을 하지는 않습니다.

Min Kyungwook
21 SmeerpntembeemSpcrn atm 1r8:4i1
이게 불법 부정선거의 가장 확실한 증거입니다. 위의 빳빳한 투표지는 평량 150g짜리 위조 투표지, 아래 사진의 구겨진 투표용지들은 팔랑팔랑거리는 평량 100g짜리 진짜 투표용지들입니다.
'예언과 시사' 카테고리의 다른 글
| 수익율 115345% (11만 5천3백45퍼센트) (0) | 2021.10.04 |
|---|---|
| 6하 원칙에 의한 부정선거 전모 (0) | 2021.10.04 |
| 부정선거 아니라고? (0) | 2021.09.30 |
| 대법원은 국민의 지성이 두렵지 않은가? (0) | 2021.09.29 |
| 교회들이여, 부정선거를 외치라! (0) | 2021.09.20 |